Banco de Questões do Prepara Vestibular
Navegue pela nossa base de dados de questões e resolve questões fora dos desafios. Use a barra de pesquisa abaixo ou os filtros para refinar sua busca!
-
Tensoativos são compostos orgânicos que possuem comportamento anfifílico, isto é, possuem duas regiões, uma hidrofóbica e outra hidrofílica. O principal tensoativo aniônico sintético surgiu na década de 1940 e teve grande aceitação no mercado de detergentes em razão do melhor desempenho comparado ao do sabão. No entanto, o uso desse produto provocou grandes problemas ambientais, dentre eles a resistência à degradação biológica, por causa dos diversos carbonos terciários na cadeia que compõe a porção hidrofóbica desse tensoativo aniônico. As ramificações na cadeia dificultam sua degradação, levando à persistência no meio ambiente por longos períodos. Isso levou a sua substituição na maioria dos países portensoativos biodegradáveis, ou seja, com cadeias alquílicas lineares.
PENTEADO, J. C. P.; EL SEOUD, O. A.; CARVALHO, L. R. F. [...]: uma abordagem ambiental e analítica. Química Nova, n. 5, 2006 (adaptado).
Qual a fórmula estrutural do tensoativo persistente no ambiente mencionado no texto?
-
As abelhas utilizam a sinalização química para distinguir a abelha-rainha de uma operária, sendo capazes de reconhecer diferenças entre moléculas. A rainha produz o sinalizador químico conhecido como ácido 9-hidroxidec-2-enoico, enquanto as abelhas-operárias produzem ácido 10-hidroxidec-2-enoico. Nós podemos distinguir as abelhas-operárias e rainhas por sua aparência, mas, entre si, elas usam essa sinalização química para perceber a diferença. Pode-se dizer que veem por meio da química.
LE COUTEUR, R; BURRESON, J. Os botões de Napoleão: as 17 moléculas que mudaram a história. Rio de Janeiro: Jorge Zahar, 2006 (adaptado).
As moléculas dos sinalizadores químicos produzidas pelas abelhas rainha e operária possuem diferença na
-
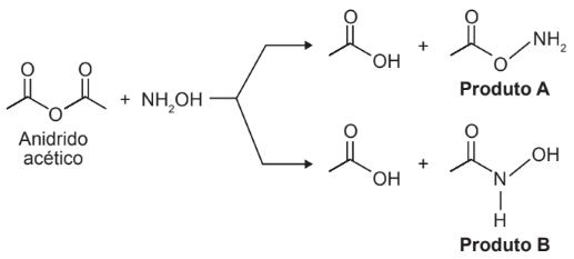
A hidroxilamina (NH2OH) é extremamente reativa em reações de substituição nucleofílica, justificando sua utilização em diversos processos. A reação de substituição nucleofílica entre o anidrido acético e a hidroxilamina está representada.

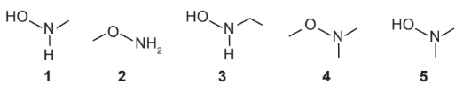
O produto A é favorecido em relação ao B, por um fator de 105. Em um estudo de possível substituição do uso de hidroxilamina, foram testadas as móleculas numeradas de 1 a 5 .

Dentre as moléculas testadas, qual delas apresentou menor reatividade?
-
Pesquisas demonstram que nanodispositivos baseados em movimentos de dimensões atômicas, induzidos por luz, poderão ter aplicações em tecnologias futuras, substituindo micromotores, sem a necessidade de componentes mecânicos. Exemplo de movimento molecular induzido pela luz pode ser observado pela flexão de uma lâmina delgada de silício, ligado a um polímero de azobenzeno eaum material suporte, em dois comprimentos de onda, conforme ilustrado na figura. Com a aplicação de luz ocorrem reações reversíveis da cadeia do polímero, que promovem o movimento observado.

TOMA, H. E. A nanotecnologia das moléculas. Química Nova na Escola, n. 21, maio 2005 (adaptado).
O fenômeno de movimento molecular, promovido pela incidência de luz, decorre do(a)
Faça já esses desafios
-
(Enem II) Química
Química para o Enem é no Prepara Vestibular!
-
(Enem I) História
Prepara-se para História para o Enem deste Ano!
-
(Enem II) Língua Portuguesa
Faça já simulado de português para enfrentar o Enem no final do ano!
-
(Enem II) Biologia
Esteja preparado para Biologia no Enem! Faça esse simulado agora para testar seus conhecimentos
-
(Enem II) Matemática
Teste seus conhecimentos em matemática para o Enem deste Ano!
Como funciona nosso banco de questões?
O nosso banco de questões é um grande banco de dados onde estão armazenados um conjunto de questões previamente selecionadas das provas dos vestibulares mais populares, uma poderosa ferramenta para você se aprofundar em um tema específico e ganhar tempo. Com o auxílio do nosso banco de questões o aluno pode ter disponível diversos exercícios com vários graus de dificuldade.
Como nossa plataforma é gamificada, todas nossas questões compartilham vários elementos de gamificação, como
- Pontuação: O valor de cada questão é computado pela performance geral dos usuários em nossa plataforma
- Feedback: Te damos a resposta na hora! Através de nossa interface lúdica você rapidamente sabe quando acerta ou erro, e caso esteja disponível, a solução comentada também.
Nossas questões tem origem diretamente das provas públicas de vestibular, caso encontre alguma inconsistência (como por exemplo, o gabarito errado) entre em contato conosco.
