Banco de Questões do Prepara Vestibular
Navegue pela nossa base de dados de questões e resolve questões fora dos desafios. Use a barra de pesquisa abaixo ou os filtros para refinar sua busca!
-
Em uma sala de cinema, para garantir que os espectadores vejam toda a imagem projetada na tela, a disposição das poltronas deve obedecer à norma técnica da Associação Brasileira de Normas Técnicas (ABNT), que faz as seguintes indicações:
- Distância mínima (Dmin) entre a tela de menos, 60% da largura (L) da tela.
- Distância máxima (Dmáx) entre a tela de projeção e o encosto da poltrona da última fileira deve ser o dobro da largura (L) da tela, sendo aceitável uma distância de até 2,9 vezes a largura (L) da tela.
Para o espaçamento entre as fileiras de poltronas, poltronas em duas fileiras consecutivas. projeção e o encosto da poltrona da primeira fileira deve ser de, pelo é considerada a distância de 1 metro entre os encostos de poltronas em duas fileiras consecutivas.
Disponível em: www.ctav.gov.br. Acesso em: 14 nov. 2013.
Uma sala de cinema, cuja largura da tela mede 12 m, está montada em conformidade com as normas da ABNT e tem suas dimensões especificadas na figura.

Pretende-se ampliar essa sala, mantendo-se na mesma posição a tela e todas as poltronas já instaladas, ampliando-se ao máximo a sala para os fundos (área de instalação de novas poltronas), respeitando-se o limite aceitável da norma da ABNT. A intenção é aumentar, ao máximo, a quantidade de poltronas da sala, instalando-se Novas unidades, iguais às já instaladas.
Quantas fileiras de poltronas a sala comportará após essa ampliação?
-
Com o aumento da população de suínos no Brasil, torna-se necessária a adoção de métodos para reduzir o potencial poluidor dos resíduos dessa agroindústria, uma vez que, comparativamente ao esgoto doméstico, os dejetos suínos são 200 vezes mais poluentes. Sendo assim, a utilização desses resíduos como matéria-prima na obtenção de combustíveis é uma alternativa que permite diversificar a matriz energética nacional, ao mesmo tempo em que parte dos recursos hídricos do país são preservados.
BECK, A. M. Resíduos suínos como alternativa energética sustentável. XXVII Encontro Nacional de Engenharia de Produção. Anais ENEGEP, Foz do Iguaçu, 2007 (adaptado).
O biocombustível a que se refere o texto é o
-
No período de fim de ano, o síndico de um condomínio resolveu colocar, em um poste, uma iluminação natalina em formato de cone, lembrando uma árvore de Natal, conforme as figuras 1 e 2.

A árvore deverá ser feita colocando-se mangueiras de iluminação, consideradas segmentos de reta de mesmo comprimento, a partir de um ponto situado a 3 m de altura no poste até um ponto de uma circunferência de fixação, no chão, de tal forma que esta fique dividida em 20 arcos iguais. O poste está fixado no ponto C (centro da circunferência) perpendicularmente ao plano do chão.
Para economizar, ele utilizará mangueiras de iluminação aproveitadas de anos anteriores, que juntas totalizaram pouco mais de 100 m de comprimento, dos quais ele decide usar exatamente 100 m e deixar o restante como reserva.
Para que ele atinja seu objetivo, o raio, em metro, da circunferência deverá ser de
-
Um médico faz o acompanhamento clínico de um grupo de pessoas que realizam atividades físicas diariamente. Ele observou que a perda média de massa dessas pessoas para cada hora de atividade física era de 1,5 kg. Sabendo que a massa de 1L de água é de 1 kg, ele recomendou que ingerissem, ao longo das 3 horas seguintes ao final da atividade, uma quantidade total de água correspondente a 40% a mais do que a massa perdida na atividade física, para evitar desidratação.
Seguindo a recomendação médica, uma dessas pessoas ingeriu, certo dia, um total de 1,7 L de água após terminar seus exercícios físicos.
Para que a recomendação médica tenha efetivamente sido respeitada, a atividade física dessa pessoa, nesse dia, durou
-
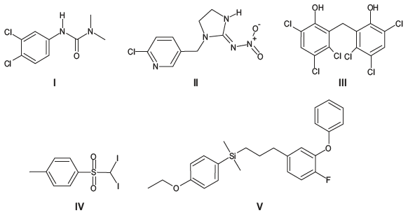
As águas subterrâneas têm sido contaminadas pelo uso de pesticidas na agricultura. Entre as várias substâncias usualmente encontradas, algumas são apresentadas na figura. A distinção dessas substâncias pode ser feita por meio de uma análise química qualitativa, ou seja, determinando sua presença mediante a adição de um reagente específico. O hidróxido de sódio é capaz de identificar a presença de um desses pesticidas pela reação ácido-base de Brönsted-Lowry.

O teste positivo será observado com o pesticida
Faça já esses desafios
-
(Enem II) Química
Química para o Enem é no Prepara Vestibular!
-
(Enem I) História
Prepara-se para História para o Enem deste Ano!
-
(Enem II) Língua Portuguesa
Faça já simulado de português para enfrentar o Enem no final do ano!
-
(Enem II) Biologia
Esteja preparado para Biologia no Enem! Faça esse simulado agora para testar seus conhecimentos
-
(Enem II) Matemática
Teste seus conhecimentos em matemática para o Enem deste Ano!
Como funciona nosso banco de questões?
O nosso banco de questões é um grande banco de dados onde estão armazenados um conjunto de questões previamente selecionadas das provas dos vestibulares mais populares, uma poderosa ferramenta para você se aprofundar em um tema específico e ganhar tempo. Com o auxílio do nosso banco de questões o aluno pode ter disponível diversos exercícios com vários graus de dificuldade.
Como nossa plataforma é gamificada, todas nossas questões compartilham vários elementos de gamificação, como
- Pontuação: O valor de cada questão é computado pela performance geral dos usuários em nossa plataforma
- Feedback: Te damos a resposta na hora! Através de nossa interface lúdica você rapidamente sabe quando acerta ou erro, e caso esteja disponível, a solução comentada também.
Nossas questões tem origem diretamente das provas públicas de vestibular, caso encontre alguma inconsistência (como por exemplo, o gabarito errado) entre em contato conosco.