Questão 1/7
Sequencia de Acertos: 0
Pontuação: 0000
00:00
Clique aqui para reportar um problema.
A água bruta coletada de mananciais apresenta alto índice de sólidos suspensos, o que a deixa com um aspecto turvo. Para se obter uma água límpida e potável, ela deve passar por um processo de purificação numa estação de tratamento de água. Nesse processo, as principais etapas são, nesta ordem: coagulação, decantação, filtração, desinfecção e fluoretação.
Qual é a etapa de retirada de grande parte desses sólidos?
A penicilamina é um medicamento de uso oral utilizado no tratamento de várias doenças. Esse composto é excretado na urina, cujo pH se situa entre 5 e 7. A penicilamina, cuja fórmula estrutural plana está apresentada, possui três grupos funcionais que podem ser ionizados:
- carboxila: —COOH, cujo pKa é igual a 1,8;
- amino: —NH2, que pode ser convertido em amínio (—NH3+, cujo pKa é igual a 7,9);
- tiol: —SH, cujo pKa é igual a 10,5.
Sabe-se que pKa = -log Ka.

Qual estrutura derivada da penicilamina é predominantemente encontrada na urina?
De modo geral, a palavra “aromático” invoca associações agradáveis, como cheiro de café fresco ou de um pão doce de canela. Associações similares ocorriam no passado da história da química orgânica, quando os compostos ditos “aromáticos apresentavam um odor agradável e foram isolados de óleos naturais. À medida que as estruturas desses compostos eram elucidadas, foi se descobrindo que vários deles continham uma unidade estrutural específica. Os compostos aromáticos que continham essa unidade estrutural tomaram-se parte de uma grande família, muito mais com base em suas estruturas eletrônicas do que nos seus cheiros, como as substâncias a seguir, encontradas em óleos vegetais.

SOLOMONS, T. W. G.; FRYHLE, C. B. Química orgânica. Rio de Janeiro: LTC, 2009 (adaptado).
A característica estrutural dessa família de compostos é a presença de
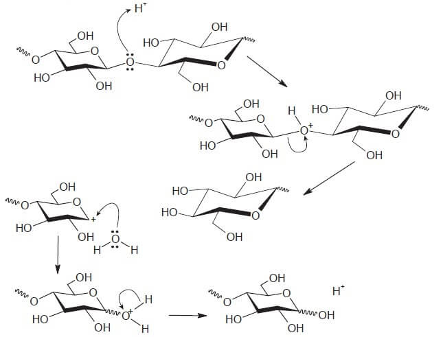
A biomassa celulósica pode ser utilizada para a produção de etanol de segunda geração. Entretanto, é necessário que os polissacarídeos sejam convertidos em mono e dissacarídeos, processo que pode ser conduzido em meio, conforme mostra o esquema:

OGEDA, T. L.; PETRI, D. F. S. [...] Química Nova, n. 7, 2010 (adaptado).
Nessa conversão de polissacarídeos, a função do íon H+ é
A nanotecnologia é responsável pelo aprimoramento de diversos materiais, incluindo os que são impactados com a presença de poluentes e da umidade na atmosfera, causadores de corrosão. O processo de corrosão é espontâneo e provoca a deterioração de metais como o ferro, que, em presença de oxigênio e água, sofre oxidação, conforme ilustra a equação química:
4Fe(s) + 2H2O(I) + 3O2(g) $ \rightarrow $ 2Fe2O3 $ \cdot $ H2O (s)
Uma forma de garantir a durabilidade da estrutura metálica e a sua resistência à umidade consiste na deposição de filmes finos nanocerâmicos à base de zircônia (ZrO2) e alumina (Al2O3) sobre a superficie do objeto que se deseja proteger.
CLEMENTE. G. A. B. F. et al. O uso de matenais hibridos ou nanocompósitos como
revestimentos anticorrosivos do aço. Quimica Nova, n. 9, 2021 (adaplado).
Essa nanotecnologia aplicada na proteção contra a corrosão se baseia no(a)
Em uma aula prática de bioquímica para medir a atividade catalítica da enzima catalase, foram realizados seis ensaios independentes, nas mesmas condições, variando-se apenas a temperatura. A catalase decompõe o peróxido de hidrogênio (H2O2), produzindo água e oxigênio. Os resultados dos ensaios estão apresentados no quadro.
| Ensaio | Temperatura | Resultado |
| Decomposição de H2O2 $(\frac{10^{-12} mol}{min})$ | ||
| 1 | 10 | 8,0 |
| 2 | 15 | 10,5 |
| 3 | 20 | 9,5 |
| 4 | 25 | 5,0 |
| 5 | 30 | 3,6 |
| 6 | 35 | 3,1 |
Os diferentes resultados dos ensaios justificam-se pelo(a)
O esquema representa o ciclo do nitrogênio:

A chuva ácida interfere no ciclo do nitrogênio, principalmente, por proporcionar uma diminuição do pH do solo e da atmosfera, alterando a concentração dos compostos presentes nesse ciclo.
Disponivel em: http:/scienceprojectideasforkids.com. Acesso em: 6 ago. 2012 (adaptado).
Em um solo de menor pH, será favorecida a formação de