Enem 2021 - Segundo Dia Caderno Amarelo - Aplicação Regular
-
A deficiência de lipase ácida lisossômica é uma doença hereditária associada a um gene do cromossomo 10. Os pais dos pacientes podem não saber que são portadores dos genes da doença até o nascimento do primeiro filho afetado. Quando ambos os progenitores são portadores, existe uma chance, em quatro, de que seu bebê possa nascer com essa doença.
ANDERSON, R. A. et. al. In: Situ Localization of the Genetic Locus Encoding the Lysosomal
Acid Lipase/Cholesteryl Esterase (LIPA) Deficient in Wolman Disease to Chromosome
10q23.2-q23.3. Genomics, n. 1, jan. 1993 (adaptado).Essa é uma doença hereditária de caráter
-
O quadro lista alguns dispositivos eletrônicos que estão presentes no dia a dia, bem como a faixa de força eletromotriz necessária ao seu funcionamento
Dispositivo eletrônico Faixa de força
eletromotriz (V)I Relógio de parede 1,2 a 1,5 II Celular 3,5 a 3,8 III Câmera digital 7,5 a 7,8 IV Carrinho de controle
remoto10,5 a 10,9 V Notebook/Laptop 19,5 a 20,0 Considere que uma bateria é construída pela associação em série de três pilhas de lítio-iodo, nas condições-padrão, conforme as semiequações de redução apresentadas.
I2 + 2e- $\rightarrow$ 2I- Eº = +0,54V Li+ + e- $\rightarrow$ Li Eº = -3,05V Essa bateria é adequada para o funcionamento de qual dispositivo eletrônico?
-
O alcoolômetro Gay Lussac é um instrumento destinado a medir o teor de álcool, em porcentagem de volume (v/v), de soluções de água e álcool na faixa de 0 °GL a 100 °GL, com divisões de 0,1 °GL. A concepção do alcoolômetro se baseia no princípio de flutuabilidade de Arquimedes, semelhante ao funcionamento de um densímetro. A escala do instrumento é aferida a 20 °C, sendo necessária a correção da medida, caso a temperatura da solução não esteja na temperatura de aferição. É apresentada parte da tabela de correção de um alcoolômetro, com a temperatura.
Tabela de correção do alcoolômetro com temperatura 20 °C °GL Leitura da temperatura (°C) 20 21 22 23 24 25 35 35,0 34,6 34,2 33,8 33,4 33,0 36 36,0 35,6 35,2 34,8 34,4 34,0 Manual alcoolômetro Gay Lussac. Disponível em: www.incoterm.com.br.
Acesso em: 4 dez. 2018 (adaptado).É necessária a correção da medida do instrumento, pois um aumento na temperatura promove o(a)
-
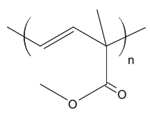
O Prêmio Nobel de Química de 2000 deveu-se à descoberta e ao desenvolvimento de polímeros condutores. Esses materiais têm ampla aplicação em novos dispositivos eletroluminescentes (LEDs), células fotovoltaicas etc. Uma propriedade-chave de um polímero condutor é a presença de ligações duplas conjugadas ao longo da cadeia principal do polímero.
ROCHA FILHO, R. C. Polímeros condutores: descoberta e aplicações.
Química Nova na Escola, n. 12, 2000 (adaptado).Um exemplo desse polímero é representado pela estrutura
-
Estudo aponta que a extinção de preguiças-gigantes, cuja base da dieta eram frutos e sementes, provocou impactos consideráveis na vegetação do Pantanal brasileiro. A flora, embora não tenha desaparecido, tornou-se menos abundante que no passado, além de ocupar áreas mais restritas.
BICUDO, F. Jardineiros da pesada. Ecologia. Pesquisa Fapesp, ed. 231, maio 2015 (adaptado).
O evento descrito com a flora ocorreu em razão da redução
Faça já esses desafios
-
(Enem II) Química
Química para o Enem é no Prepara Vestibular!
-
(Enem I) História
Prepara-se para História para o Enem deste Ano!
-
(Enem II) Língua Portuguesa
Faça já simulado de português para enfrentar o Enem no final do ano!
-
(Enem II) Biologia
Esteja preparado para Biologia no Enem! Faça esse simulado agora para testar seus conhecimentos
-
(Enem II) Matemática
Teste seus conhecimentos em matemática para o Enem deste Ano!